Đề cương tổng hợp lý thuyết về môn kinh tế lượng cơ bản chuẩn chương trình bậc đại học đầy đủ, chi tiết dành cho sinh viên khối ngành kinh tế, nghiên cứu,.. Bài tổng hợp gồm các nội dung trọng tâm chạy mô hình STATA, SPSS…
Chương 1: Thống kê và phân tích dữ liệu
2. Các phân tích định lượng thông dụng
3. Quy trình nghiên cứu thực nghiệm
4. Dữ liệu và phần mềm ứng dụng
Chương 2: Mô hình hồi qui hai biến, Ước lượng và kiểm định giả thiết
1. Phương pháp bình phương bé nhất
2. Các giả thiết cổ điển của mô hình hồi qui tuyến tính
3. Phương sai và sai số chuẩn của các ước lượng
4. Hệ số xác định và hệ số tương quan
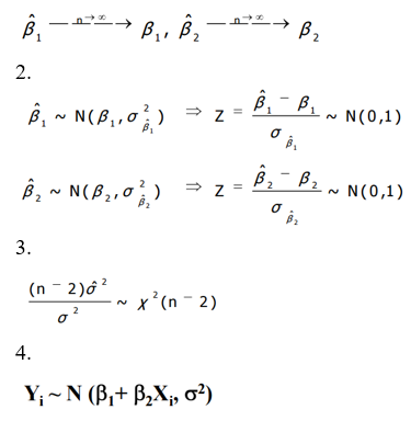
5. Phân phối xác suất của các ước lượng
6. Khoảng tin cậy của các hệ số hồi qui
7. Kiểm định giả thiết về các hệ số hồi qui
8. Kiểm định sự phù hợp của hàm hồi qui. Phân tích hồi qui và phân tích phương sai
11. Đánh giá kết quả của phân tích hồi qui
7. Khoảng tin cậy của các hệ số hồi qui
Chương 5: Hồi quy với biến giả
1. Biến định tính
2. Quy tắc đặt biến giả
3. Mô hình có nhiều biến định tính
4. Mô hình có một biến độc lập là định lượng và một biến độc lập là định tính
5. So sánh hai hồi quy
2. Nguyên nhân
3. Hậu quả
4. Phát hiện
1. Hiện tượng
2. Nguyên nhân
3. Hậu quả
4. Phát hiện
1. Hiện tượng
2. Nguyên nhân
3.Hậu quả
4. Phát hiện
Chương 9: Chọn mô hình và kiểm định việc chọn mô hình
1. Các thuộc tính của một mô hình tốt
- Áp dụng các phương pháp thống kê trong kinh tế và quản trị.
- Sự hợp nhất:
+ Lý thuyết kinh tế và quản trị
+ Công cụ toán học
+ Phương pháp luận thống kê
- Bao gồm:
+ Thống kê mô tả.
+ Ước lượng các mối quan hệ.
+ Khám phá các nhân tố ảnh hưởng.
+ Kiểm định giả thuyết.
+ Dự báo.
- Thống kê mô tả
- Mô hình nhân quả: Y = f(X1, X2, X3,…,Xn)
- Mô hình chuỗi thời gian: Y=f(t)
1. Xác định vấn đề, mục tiêu và câu hỏi nghiên cứu
2. Tóm tắt cơ sở lý thuyết và xây dựng mô hình lý thuyết
3. Xác định mô hình: Chọn các biến giải thích và dạng hàm
4. Phát biểu giả thiết về dấu kỳ vọng của các hệ số
5. Thu thập dữ liệu
6. Ước lượng mô hình
7. Đánh giá và kiểm định mô hình
8. Trình bày kết quả nghiên cứu
9. Ứng dụng kết quả nghiên cứu vào dự báo và chính sách
- Dữ liệu chéo (Cross –Section Data)
- Dữ liệu chuỗi thời gian (Time Series Data)
- Dữ liệu dạng bảng (Panel Data)
- Ứng dụng: STATA, SPSS, SHAZAM, EVIEWS,...
- Giả thiết 1 : Biến độc lập Xi là phi ngẫu nhiên, các giá trị của chúng phải được xác định trước.
- Giả thiết 2 : Kỳ vọng có điều kiện của sai số ngẫu nhiên bằng 0
- Giả thiết 3 : (Phương sai thuần nhất) Các sai số ngẫu nhiên có phương sai bằng nhau
- Giả thiết 4 : Không có hiện tượng tương quan giữa các sai số ngẫu nhiên
- Giả thiết 5 : Không có hiện tượng tương quan giữa biến độc lập Xi và sai số ngẫu nhiên Ui
- Định lý Gauss – Markov : Với các giả thiết từ 1 đến 5 của mô hình hồi qui tuyến tính cổ điển, các ước lượng OLS là các ước lượng tuyến tính, không chệch và có phương sai bé nhất trong lớp các ước lượng tuyến tính, không chệch.

a. Hệ số xác định
- Dùng để đo mức độ phù hợp của hàm hồi qui

- Trong đó: TSS = ESS + RSS
- Miền xác định R2
0≤R2≤1
+ R2 -> 1: hàm hồi quy càng phù hợp
+ R2 -> 0: hàm hồi quy càng ít phù hợp
b. Hệ số tương quan
Là số đo mức độ chặt chẽ của quan hệ tuyến tính giữa X và Y

Chứng minh được: |r| = √R^2
c. Tính chất hệ số tương quan
1. Miền giá trị của r : -1≤ r ≤ 1
| r| -> 1 : quan hệ tuyến tính giữa X và
Y càng chặt chẽ.
2. r có tính đối xứng : rXY = rYX
3. Nếu X, Y độc lập thì r = 0. Điều ngược lại không đúng.
Giả thiết 6: Ui có phân phối N (0, 2),
Với giả thiết 6, các ước lượng có thêm các tính chất sau
1. Khi số quan sát đủ lớn thì các ước lượng xấp xỉ với giá trị thực của phân phối
- Sử dụng phân phối của thống kê t:

- Giả thiết H0: β2 = a (a = const)
H1 : β2 ≠ a
- Có 2 cách kiểm định :
● Dùng khoảng tin cậy:
Khoảng tin cậy của β2 là [ α,β ]
+ Nếu a ∉ [ α,β ] => bác bỏ H0
+ Nếu a ∊ [ α,β ] => chấp nhận H0
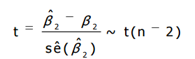
● Dùng kiểm định t:
Cách 1:

+ Nếu |t| > tα/2(n-2) => Bác bỏ H0
+ Nếu |t| ≤ tα/2(n-2) => chấp nhận H0
Cách 2: Dùng p-value (mức ý nghĩa chính xác)
+ Nếu p ≤ α => bác bỏ H0
+ Nếu p > α => chấp nhận H0
- Giả thiết H0: = 0 ( hàm hồi qui không phù hợp)
H1 : ≠ 0 (hàm hồi qui phù hợp)
Sử dụng phân phối của thống kê F :

Nếu F > F (1, n-2)
=> bác bỏ H0 => hàm hồi qui phù hợp.
- Mặt khác, cũng từ (*) cho thấy :
Phân tích phương sai cho phép đưa ra các phán đoán thống kê về độ thích hợp của hồi qui ( xem bảng phân tích phương sai).
- Một số chú ý khi kiểm định giả thiết :
● Khi nói “chấp nhận giả thiết H0”, không có nghĩa H0 đúng.
● Lựa chọn mức ý nghĩa : có thể tùy chọn, thường người ta chọn mức 1%, 5%, nhiều nhất là 10%
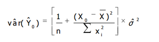
a. Dự báo giá trị trung bình
Cho X =X0, tìm E(Y/X0).
- Dự báo điểm của E(Y/X0) là :
![]()
- Dự báo khoảng của E(Y/X0) là:

Trong đó:

b. Dự báo giá trị cá biệt
Cho X =X0, tìm Y0

Minh họa:

Trong đó:

• Dấu của các hệ số hồi qui ước lượng được phù hợp với lý thuyết hay tiên
nghiệm không.
• Các hệ số hồi qui ước lượng được có ý nghĩa về mặt thống kê hay không.
• Mức độ phù hợp của mô hình (R2).
• Kiểm tra xem mô hình có thỏa mãn các giả thiết của mô hình hồi qui tuyến tính
cổ điển hay không.
Chương 3: Mở rộng mô hình hồi quy 2 biến
Mô hình:

![]()
Đặc điểm:
- β1, β2 ước lượng được bằng phương pháp OLS bằng cách đặt
![]()
- β2: là hệ số co giãn của Y theo X
a. Mô hình log-lin
![]()
Đặc điểm:

=> X tăng 1 đvị thì Y sẽ thay đổi 100 β2(%)
b. Mô hình xu hướng tuyến tính
Yt = β1 + β2t
Yt: biến có số liệu theo thời gian
t : biến thời gian hay biến xu hướng
c. Mô hình lin - log
![]()
Đặc điểm:

=> X tăng 1% thì Y sẽ thay đổi β2/100 đvị
Khi X -> ∞ => Y -> β1

*Một số trường hợp áp dụng mô hình này:
- Quan hệ giữa chi phí sản xuất cố định trung bình (AFC) và sản lượng.
- Quan hệ giữa tỉ lệ thay đổi tiền lương và tỉ lệ thất nghiệp (đường cong philips)
- Đường chi tiêu Engel biểu diễn quan hệ giữa chi tiêu của người tiêu dùng về một
loại hàng hóa với thu nhập của người đó nếu hàng hóa có đặc điểm sau:
(a) Có một mức thu nhập tới hạn mà dưới mức đó, người tiêu dùng không mua
hàng hóa này (mức ngưỡng là (- 2/ 1)
(b) Có mức tiêu dùng bão hòa mà cao hơn mức đó, người tiêu dùng không chi tiêu
thêm dù thu nhập cao đến đâu
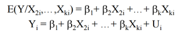
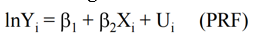
Mô hình hồi qui tuyến tính k biến (PRF):

Trogn đó:
- Y - biến phụ thuộc
- X2,…,Xk - các biến độc lập
- β1 là hệ số tự do
- βj là các hệ số hồi qui riêng,
- βj cho biết khi Xj tăng 1 đvị thì trung bình của Y sẽ thay đổi j đvị trong trường hợp các yếu tố khác không đổi (j=2,…,k).
|
Giả thiết 1: |
Các biến độc lập phi ngẫu nhiên, giá trị được xác định trước. |
|
Giả thiết 2 |
|
|
Giả thiết 3 |
|
|
Giả thiết 4 |
|
|
Giả thiết 5 |
|
|
Giả thiết 6 |
|
|
Giả thiết 7 |
Không có hiện tượng cộng tuyến giữa các biến độc lập |
a. Mô hình hồi qui ba biến
![]()
Hàm hồi qui mẫu
![]()
Giả sử có một mẫu gồm n quan sát các giá trị (Yi, X2i, X3i). Theo phương pháp OLS, β(j= 1,2,3) phải thoả mãn
![]()
b. Mô hình hồi qui tuyến tính k biến

Hàm hồi qui mẫu:
![]()
Theo phương pháp OLS, βj (j= 1,2,…,k) phải thoả mãn
![]()
Charge your account to get a detailed instruction for the assignment