Tổng hợp các kiến thức trọng tâm, các chứng minh và công thức thường gặp của môn Vật lý đại cương 1

Phát biểu: Điện thông qua một mặt kín bằng tổng đại số các điện tích chứa trong mặt kín ấy.

Chứng minh: chi tiết giáo trình trang 30 đến 35
TH1: Mặt S bao quanh q:

Mặc dù đây thuộc phần lý thuyết nhưng nó liên quan trực tiếp đến bài tập và gần như là một dạng bài tập. Các bước làm chung của dạng này như sau:
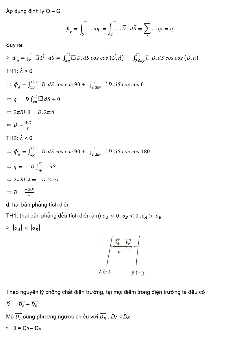
Để xác định vecto cần xác định:
- Điểm đặt
- Phương
- Chiều
- Độ lớn
Tìm độ lớn sẽ được thực hiện theo các bước sau:


b, Mặt phẳng vô hạn tích điện đều




Charge your account to get a detailed instruction for the assignment