Tổng hợp các kiến thức trọng tâm và công thức thường gặp của môn Kinh tế Vĩ mô
CHƯƠNG 1: TỔNG QUAN VỀ KINH TẾ HỌC
I. KHÁI NIỆM VÀ CÁC BỘ PHẬN CỦA KINH TẾ HỌC
2. Các bộ phận của kinh tế học.
3. Cơ chế kinh tế (Economic Mechanism):
II. LÝ THUYẾT LỰA CHỌN KINH TẾ
1. Cơ sở của sự lựa chọn kinh tế.
3. Phương pháp nghiên cứu kinh tế học vi mô:
CHƯƠNG 2: ĐO LƯỜNG THU NHẬP QUỐC DÂN
I. Tổng sản phẩm trong nước (Gross Domestic Product - GDP)
2. Diễn giải về nội dung của GDP:
1. Tổng sản phẩm quốc dân: GNP (Gross National Product).
2. Sản phẩm quốc dân ròng: NNP (Net National Product).
3.Thu nhập quốc dân: NI (National Income).
4.Thu nhập quốc dân khả dụng YD = Y-T
5.GDP danh nghĩa: Được tính theo giá năm nghiên cứu hay giá hiện hành
6. GDP thực: Là GDP được tính theo giá của năm gốc
CHƯƠNG 3: ĐO LƯỜNG CHI PHÍ SINH HOẠT
I. Chỉ số giá tiêu dùng (Consumer Price Index - CPI).
2. Công thức tính CPI của năm t
3. Công thức tính tỉ lệ lạm phát năm t
II. Những vấn đề phát sinh khi đo lường chi phí sinh hoạt
III. So sánh chỉ số điều chỉnh GDP (DGDP) và chỉ số giá tiêu dùng (CPI)
IV. Vận dụng CPI trong thực tiền, điều chỉnh các biến số kinh tế theo lạm phát.
1. Giá trị quy đổi tại các thời điểm khác nhau.
3. Lãi suất thực và lãi suất danh nghĩa
CHƯƠNG 4: SẢN XUẤT VÀ TĂNG TRƯỞNG
I. Tăng trưởng kinh tế (Economic Growth).
II. Năng suất lao động (Productivity): Vai trò và các nhân tố quyết định.
1. Vì sao năng suất lại quan trọng đến thế?
2. Những nhân tố quyết định năng suất?
III. Tăng trưởng kinh tế và chính sách công (public policy).
1. Tầm quan trọng của tiết kiệm (Saving) và đầu tư (Investment)
2. Lợi suất giảm dần và hiệu ứng bắt kịp
5. Quyền sở hữu và ổn định chính trị.
7. Kiểm soát tăng trưởng dân số.
CHƯƠNG 5: TIẾT KIỆM, ĐẦU TƯ VÀ HỆ THỐNG TÀI CHÍNH
I. Hệ thống tài chính (Financial System)
2. Thị trường tài chính (Financial market).
3. Trung gian tài chính (Financial intermediation)
II. Tiết kiệm và đầu tư trong hệ thống tài khoản quốc gia.
III. Mô hình thị trường vốn vay và các chính sách về đầu tư.
1. Cung vốn vay (Supply of loanable funds - 𝑺𝑳𝑭):
3. Thị trường vốn vay (Loanable funds Market).
I, Khái niệm và đo lường thất nghiệp
CHƯƠNG 7: TIỀN TỆ VÀ CHÍNH SÁCH
II. Hệ thống ngân hàng và cung tiền (MS).
2. Tỷ lệ dự trữ và số nhân tiền.
3. Ngân hàng trung tơng và các công cụ điều tiết cung tiền.
III. Cầu tiền và lý thuyết ưa thích thanh khoản của Keynes
1. Đặc điểm và các nhân tố tác động đến cầu tiền:
2. Lý thuyết ưa thích thanh khoản của Keynes
IV. Chính sách tiền tệ (Monetary Policy).
1. Chính sách tiền tệ mở rộng (nới lỏng): Mục tiêu tăng trưởng kinh tế
2. Chính sách tiền tệ thắt chặt (thu hẹp): Mục tiêu kiềm chế lạm phát
I. Khái niệm và đo lường lạm phát.
II. Các nguyên nhân gây ra lạm phát
1. Lạm phát do cầu kéo (Demand-pull in ation):
2. Lạm phát chi phí đẩy (Cost-push inflation):
3. Lạm phát ỳ (Inertial inflation).
1. Lý thuyết phân đôi cổ điển (Classical Dichotomy).
2. Lạm phát theo lý thuyết tiền tệ:
3. Hiệu ứng Fisher (Fisher Effect)
CHƯƠNG 9: KINH TẾ VĨ MÔ TRONG NỀN KINH TẾ MỞ
2. Dòng vốn ra ròng (Net Capital Outflow - NCO).
3. Cấu trúc bằng cán cân thanh toán:
II. Tỷ giá hối đoái (Exchange rate - E).
2. Lý thuyết ngang giá sức mua về xác định tỷ giá hối đoái
3. Thị trường ngoại hối và xác định tỷ giá hối đoái
CHƯƠNG 10: TỔNG CUNG - TỔNG CẦU
I. Mô hình tổng cầu và tổng cung
3. Xác định trạng thái cân bằng (Mô hình AD-AS):
II. Tổng cầu và chính sách tài khóa.
1. Các giả thiết trong mô hình giao điểm của Keynes
2. Mô hình sản lượng cân bằng:
3. Chính sách tài khóa và hiệu quả
CHƯƠNG 11: SỰ ĐÁNH ĐỔI TRONG NGẮN HẠN GIỮA LẠM PHÁT VÀ THẤT NGHIỆP
I. Mối quan hệ giữa lạm phát và thất nghiệp
2. Tổng cầu, tổng cung và sự di chuyển của đường Phillips ngắn hạn
II. Sự dịch chuyển của đường Phillips.
1. Sự dịch chuyển của đường Phillips ngắn hạn: Vai trò của kỳ vọng.
2. Sự dịch chuyển của Đường Phillips ngắn hạn: Vai trò của các cú sốc cung.
CHƯƠNG 1: TỔNG QUAN VỀ KINH TẾ HỌC
Paul Samuelson đã đưa ra khái niệm chung về kinh tế học như sau: Kinh tế học
(Economics) là môn khoa học nghiên cứu cách thức xã hội sử dụng các nguồn lực khan hiếm như thế nào để sản xuất ra các hàng hóa có giá trị và phân phối chúng cho các đối tượng khác nhau. Mục tiêu là để thỏa mãn các nhu cầu ngày càng đa dạng, phong phú và không ngừng tăng lên của con người.
Kinh tế học vi mô
Nghiên cứu hành vi cụ thể của từng cá nhân, từng doanh nghiệp trong việc giải quyết các vấn đề của nền kinh tế, gồm: cung, cầu thị trường, giá bán, sản lượng của 1 loại hàng hóa cụ thể, các quyết định sản xuất của hãng, quyết định tiêu dùng của người tiêu dùng và quyết định can thiệp của chính phủ vào một thị trường cụ thể.
Kinh tế học vĩ mô
Nghiên cứu các vấn đồ tổng thể của nền kinh tế, mục tiêu của cả nền kinh tế hay quốc gia, gồm: giá cả chung, sản lượng của toàn bộ nền kinh tế, các chỉ tiêu lạm phát, thất nghiệp, việc làm, tổng cung, tổng cầu tăng trưởng, tiền tệ.....v…
Các bộ phận hợp thành nền kinh tế hay những người ra quyết định:
+ Các hộ gia đình
+ Các doanh nghiệp
+ Chính phủ
Phân loại cơ chế kinh tế:
+ Cơ chế kế hoạch hóa tập trung: Chính phú là người quyết định 3 vấn đề cơ bản.
+ Cơ chế thị trường: Cung - Cầu thị trường quyết định 3 vấn đề cơ bản.
+ Cơ chế hỗn hợp: Cả chính phủ và thị trường quyết định 3 vấn đề cơ bản.
Cơ sở của sự lựa chọn kinh tế là dựa trên sự đánh đổi hay chi phí cơ hội của sự lựa chọn đó:
Chi phí cơ hội (Opportunity Cost - OC) là giá trị cơ hội tốt nhất bị bỏ qua khi thực hiện một sự lựa chọn kinh tế. Như vậy, khi các tác nhân đưa ra bất kỳ sự lựa chọn kinh tế nào thì đều phải lựa chọn cân nhắc so sánh các phương ái với nhau dựa vào chi phí cơ hội của sự lựa chọn.
Phương pháp 1: Phương pháp tư duy cận biên:
So sánh lợi ích cận biên và chi phí cận biên
+ Lợi ích cận biên (MB) là lợi ích thu được khi tiêu dùng thêm một đơn vị hàng hóa.
+ Chi phí cận biên (MC) là chi phí bỏ ra để sản xuất hoặc tiêu dùng thêm một đơn vị sản phân
Nếu MB > MC thì tăng quy mô sản xuất hay tiêu dùng.
Nếu MB < MC thì giảm quy mô sản xuất.
Nếu MB - MC thì quy mô hiện tại là tối ưu.
Lưu ý: Khi thực hiện sự lựa chọn theo phương pháp cận biên thì người ta chỉ quan tâm đến việc so sánh giữa lợi ích tăng thêm và chi phí phải bỏ ra thêm chứ không quan tâm một cách riêng rẽ đến tổng lợi ích thu được hay tổng chi phí bỏ ra.
Phương pháp 2: Đường giới hạn khả năng sản xuất
(Production Possibility Frontier - PPF).
Đường PPF mô tả các mức sản lượng tối đa có thể sản xuất được với các nguồn lực hiện có trong điều kiện công nghệ nhất định.

Độ dốc của đường PPF tuân theo quy luật chi phí cơ hội tăng dẫn, nghĩa là muốn sản xuất thêm càng nhiều một loại hàng hóa thì người ta phải hy sinh ngày càng nhiều hơn việc sản xuất một loại hàng hóa khác.
Phương pháp mô hình hóa:
Để nghiên cứu kinh tế học, các giá thuyết kinh tế được thành lập và được kiếm chứng bằng thực nghiệm. Nếu các phép thử được lặp đi lặp lại nhiều lần đều cho kết quả thực nghiệm đúng như giá thuyết thì giá thuyết kinh tế được coi là lý thuyết kinh tế. Một vài giá thuyết kinh tế và lý thuyết kinh tế được công nhận rộng rãi thi được gọi là quy luật kinh tế. Các bước trong phương pháp mô hình hóa bao gồm:
+ Xác định vấn đề nghiên cứu
+ Phát triển mô hình
+ Kiểm định giả thuyết kinh tế
Phương pháp so sánh tĩnh:
Được thực hiện để so sánh sự thay đổi của một biến số kinh tế nào đó với sự thay đổi tương ứng của một biến số kinh tế khác. Phương pháp so sánh tĩnh luôn được dựa trên giả định Ceteris Paribus (các yếu tố khác không đổi).
Phương pháp phân tích thực chứng:
Là cách phân tích trong đó người ta cố gắng lý giải khách quan về bản thân các vấn đề hay sự kiện kinh tế. Các câu hỏi thường gặp: Đó là gì?; Tác động ra sao?; Tác động như thế nào?
Phương pháp phân tích chuẩn tắc:
Nhằm đưa ra những đánh giá và khuyến nghị dựa trên cơ sở các giá trị cá nhân của người phân tích. Câu hỏi trung tâm mà cách tiếp cận chuẩn tắc đặt ra là: cần phải làm gì hay nên làm như thế nào trước một sự kiện kinh tế?
Bàn tay vô hình thường dẫn dắt thị trường phần bổ nguồn lực có hiệu quả. Song trong một số trường hợp, bàn tay vô hình vận hành không tốt, các nhà kinh tế học thường sử dụng thuật ngữ thất bại thị trường để chỉ tình huống mà thị trường tự nó thất bại trong việc phân bổ nguồn lực.
Các nguyên nhân dẫn đến thất bại thị trường là do:
Là hình thức doanh nghiệp đứng ra cung ứng loại hàng hóa, dịch vụ có sự khác biệt hoặc không có sản phẩm thay thế. Doanh nghiệp độc quyền có sức mạnh thị trường hay khả năng tự định giá với mức giá cao hơn giá xã hội mong muốn và sản lượng thấp hơn sản lượng mà xã hội mong muốn do đó dẫn đến tổn thất phúc lợi xã hội ròng
Bao gồm 2 loại là hàng hóa công cộng thuần tuý (không có tính cạnh tranh và không có tính loại trừ) và hàng hóa công cộng không thuần tuý ( hoặc không có tính cạnh tranh hoặc không có tính loại trừ). Khi cung cấp hàng hóa công cộng sẽ dẫn đến các tác động tiêu cực đến thị trường như xuất hiện kẻ ăn không, quả tài do vượt quá công suất thiết kế.... dẫn đến tổn thất phúc lợi xã hội.
Là những tác động đến lợi ích ròng của xã hội nhưng không được tính vào giá cả của hàng hóa và dịch vụ. Ngoại ứng tiêu cực là những tác động tiêu cực đến xã hội như xả thải, tiếng ồn,. nhưng không được tính vào giá cả hàng hóa. Điều này dẫn đến sản lượng sản xuất ra thị trường cao hơn mức mà xã hội mong muốn gây tổn hại đến phúc lợi xã hội. Ngoại ứng tích cực là những lợi ích thu được khi hàng hóa, dịch vụ được sản xuất nhưng không được tính vào giá cả. Điều này dẫn đến sản lượng hàng hóa cung ứng không đủ nhu cầu của xã hội dẫn đến tổn thất phúc lợi xã hội.
Bản chất là việc người sản xuất và chính phú không nắm bắt được chính xác thông tin để đưa ra các phương án sản xuất hợp lý dẫn đến sản xuất thấp hơn hoặc vượt quá nhu cầu của xã hội.
Tại sao chính phủ lại can thiệp vào thị trường?:
Khi thị trường hoạt động bình thường thì mọi sự cố gắng can thiệp của chính phủ đều làm cho thị trường hoạt động kém hiệu quả hơn, tuy nhiên nếu có thất bại thị trường thi việc chính phủ can thiệp vào thị trường là cần thiết đề làm cho thị trường hoạt động hiệu quả hơn, lợi ích được phân phối công bằng hơn.
GDP là tổng giá trị tiền tệ hoặc giá trị thị trường của tất cả các hàng hóa và dịch vụ cuối cùng được sản xuất ra trong phạm vi một nước trong một thời kỳ nhất định.
"Giá thị trường (Market value)"
Có nghĩa là GDP được quy về giá trị tính bằng tiền hay tính theo mức giá được giao dịch trên thị trường.
"Của tất cả..."
Có nghĩa là GDP tim cách tinh toàn thể các hàng hóa và dịch vụ được sản xuất và bán hợp pháp trên thị trường. GDP không tính tới các giá trị giao dịch ngâm hoặc bất hợp pháp như ma túy, buôn lậu hoặc tự cung tự cấp (các hoạt động tự sản xuất và tiêu dùng tại gia đình).
"tất cả hàng hóa và dịch vụ cuối cùng (all the finished goods and services)"
Là những sản phẩm cuối cùng của quá trình sản xuất và chúng được người mua sử dụng dưới dạng sản phẩm hoàn chỉnh. Đó là những hàng hóa bán cho những người sử dụng cuối cùng. Phân biệt hàng hóa cuối cùng là để khắc phục hiện tượng tính trùng trong đo lường GDP. Ví dụ, tính GDP trong ngành sản xuất xe máy, sẽ là vô nghĩa nếu như cộng tất cả giá trị của sản lượng cao su, lốp xe máy, và xe máy được tạo ra trong một nền kinh tế lại với nhau bởi vì giá trị của lốp xe đã tỉnh đến giá trị của cao su dùng sản xuất ra lốp xe đưa vào xe máy. Ở dây, cao su và lốp xe là những hàng hóa trung gian.
“Hàng hóa trung gian (intermediations)”
Là những hàng hóa như vật liệu và các bộ phận được dùng trong quá trình sản xuất ra những hàng hóa khác. Tuy nhiên, trường hợp ngoại lệ hàng hóa trung gian không được sử dụng vào việc sản xuất ra những hàng hóa khác mà được đưa vào hàng tồn kho của doanh nghiệp để bán ra hoặc đưa vào sản xuất trong tương lai. Lúc đó hàng hóa
trung gian được coi là hàng hóa cuối cùng và giá trị của nó ở dạng đầu tư tồn kho được tính vào GDP. Sau khi đầu tư tồn kho này được bán ra hoặc sử dụng ở thời kỳ tiếp theo thì đầu tư tồn kho của doanh nghiệp được ghi là một số âm. Tức là đã được tính vào
GDP ở thời điểm sản xuất và phải tính giảm đi một lượng tương ứng ở kỳ tiếp theo.
"Hàng hóa và dịch vụ (goods and services)"
Có nghĩa là GDP bao gồm cả những hàng hóa hữu hình như lương thực, thực phẩm, quần áo, xe máy tủ lạnh và những dịch vụ vô hình như dịch vụ cắt tóc, khám bệnh, bào chữa của luật sư, văn hóa nghệ thuật..v.v.
"Được sản xuất trong phạm vi một nước (produced within a country's borders)".
Tất cả các hàng hóa và dịch vụ được sản xuất ra trong phạm vi lãnh thổ kinh tế của quốc gia đều được tính vào GDP. Bất kể nó được tạo ra bởi công dân nước nào và doanh nghiệp được sở hữu bởi trong nước hay nước ngoài.
"Trong một thời kỳ nhất định (in a specific time period)*.
Có nghĩa là GDP phản ánh giá trị sản lượng được tạo ra trong một khoảng thời gian cụ thể. Thông thường GDP được tính cho thời kỳ một năm hoặc theo các quý trong năm.
a. Phương pháp chi tiêu:
GDP = C+I+G+NX
Trong đó:
C (Private Consumption) là tiêu dùng của hộ gia đình:
Bao gồm các khoản chi cho tiêu dùng cá nhân của các hộ gia đình về hàng hóa và dịch vụ (tuy nhiên chi mua nhà ở mới của hộ gia đình không được hạch toán vào chi tiêu hộ gia đình mà được hạch toán vào đầu tư tư nhân). C thường là thành phần GDP lớn nhất trong nền kinh tế.
I (Investment) là tổng đầu tư trong nước của khu vực tư nhân.
Là những thay đổi dương trong khoản chi tiêu của doanh nghiệp về trang thiết bị nhà xưởng và chi tiêu cho nhà ở mới của dân cư, những thay đổi âm về hàng tồn kho của doanh nghiệp (Inventories). Tổng đầu tư bảo gồm 2 bộ phận là: (i)Đầu tư thay thế là chi tiêu để bù đắp giá trị của bộ phận tư bản hiện vật đã hao mòn, được gọi là khấu hao (Depreciation); (ii)Đầu tư ròng (Net investment) là khoán chi tiêu đề mở rộng quy mô của tư bản hiện vật. Do đó đầu tư rồng bằng tổng đầu tư trừ khấu hao (Ni - 1 - Dep).
Điều quan trọng cần lưu ý nữa là mua các sản phẩm tài chính được coi là tiết kiệm, trái ngược với đầu tư.
G (Government Purchases of goods and services) là chi tiêu mua hàng hóa và dịch vụ của chính phủ hay còn gọi tắt là chi tiêu chính phú.
Nó bao gồm tiền lương của công chức, tiền mua vũ khí cho quân đội và bất kỳ khoản chi đầu tư nào của chính phú, Tuy nhiên, vì GDP là thước đo năng suất, các khoản thanh toán chuyển nhượng (Transfer payments - Tr) do chính phủ thực hiện không được tinh vì các khoản thanh toán này không phản ánh việc mua hàng của chinh phú. Ví dụ các khoản trợ cấp cho người thuộc diện chính sách xã hội, như người giá, người tân tật hay chi trợ cấp thất nghiệp..
NX (Net eXports) là xuất khẩu ròng :
Là khoản chi tiêu của người nước ngoài cho mua hàng hóa và dịch vụ được sản xuất ra ở trong nước trừ đi khoản chi tiêu của người dân trong nước cho mua hàng hóa và dịch vụ tạo ra ở nước ngoài. NX - X - IM trong đó:
+ X (eXports) đại diện cho tổng xuất khẩu, ghi nhận số tiền dương mà một quốc gia thu được khi xuất khẩu hàng hóa và dịch vụ sang quốc gia khác.
+ IM (IMports) là đại diện cho tổng nhập khẩu, ghi nhận số tiền âm hay khoản phải trả để tiêu dùng hàng hóa và dịch vụ do quốc gia khác sản xuất, tồn tại trong "G", "T" hoặc "C", và phải được khấu trừ để tránh tính nguồn cung từ nước ngoài vào trong nước.
b. Phương pháp thu nhập: GDP = W + R + I + Pr +Te + Dep
Trong đó:
W (Compensation of employees) là thu lao lao động
Gồm toàn bộ các khoản thanh toán doanh nghiệp trả cho các dịch vụ lao động. Nó bao gồm tiền công và tiền lương ròng (còn gọi là "trá đem về nhà") mà công nhân nhận được hàng tháng, thuế thu nhập bị giữ lại, các khoản phúc lợi phụ như an sinh xã hội và các khoản đóng góp và quỹ hưu trí.
R (Rental income )là tiền cho thuê tài sản.
Gồm khoản tiền thanh toán cho việc sử dụng đất đai và các yếu tố đầu vào đã thuê khác. Nó bao gồm các khoản vốn mà Hộ gia đình vay nợ, chẳng hạn như tiền lãi tính theo số dư nợ trên thẻ tín dụng.
T (Ner interest) là tiền lãi ròng.
Gồm toàn bộ các khoản lãi tính trên các khoản vốn hộ gia đình cho vay, ví dụ như trái phiếu công ty, trừ đi lãi thanh toán cho các khoản vốn mà hộ gia đình vay nợ, chẳng hạn như tiền lãi tính theo số dư nợ trên thế tín dụng
Pr (Profit) là lợi nhuận của doanh nghiệp.
Gồm toàn bộ lợi nhuận doanh nghiệp kiếm được. Một phần của những khoản lợi nhuận này được trả cho các hộ gia đình ở dạng cổ tức và một phần được đoanh nghiệp giữ lại dưới dạng lợi nhuận không phân phối để tiếp tục tái đầu tư.
Te (Net expenditure Tax) là thuế gián thu ròng.
Bằng thuế gián thu (Indirect tax) trừ đi trợ cấp (Subsidy) cho người sản xuất
Dep (Depreciation) là khấu hao.
Gồm các khoản chi tiêu của doanh nghiệp để bù đắp giá trị của bộ phận tư bản hiện vật đã hao mòn.
Chú ý:
• GDP theo chi phí yếu tố: = W + R + 1 + Pr
• GDP tính theo giá thị trưởng: = W + R + I + Pr + Te
• GDP điều chỉnh sáng tổng sản phẩm trong nước: = W + R + I+Pr + Te + Dep
c. Phương pháp sản xuất (hay còn gọi là phương pháp giá trị gia tăng).
VA (Value Added) là giá trị gia tăng: VA = (Gross Output - GO) giá trị sản xuất
- (Intermediational Cost - IC) chi phí trung gian. Nói cách khác, VA là tổng thu nhập (bao gồm cả lợi nhuận) trà cho các yếu tố sản xuất đã được doanh nghiệp sử dụng để tạo ra sản lượng của các doanh nghiệp hoặc ngành.

Trong đó: VAi: giá trị gia tăng của doanh nghiệp i trong nền kinh tế
Đo lường thu nhập hay giá trị sản xuất của các công dân một quốc gia (bao gồm cả con người và nhà máy của họ) bất kể hoạt động đang diễn ra ở đâu.
Mối quan hệ giữa GDP và GNP là: GNP = GDP + NFA
Trong đó NFA (Net Factor income from Abroad) là thu nhập yếu tố ròng từ nước ngoài. NFA = Thu nhập được tạo ra bởi người dân ở nước ngoài - Thu nhập tạo ra bởi người nước ngoài ở trong nước.
Có NNP = GNP - Dep
NI = NNP - Te = GNP -Dep - Te
Bên cạnh đó ta còn chủ ý đến một loại thu nhập quan trọng đó là thu nhập cá nhân
(Personal Income - PI) là khoản thu nhập mà các hộ gia đình và doanh nghiệp phi công ty (non - corporate businesses) nhận được từ các doanh nghiệp cho các dịch vụ yếu tố và từ các chương trình trợ cấp của chính phú về phúc lợi và bảo hiểm xã hội.
![]()
![]()



KẾT LUẬN:
GDP được coi là tiêu thức tốt nhất phản ánh phúc lợi kinh tế của một xã hội.
Chúng ta thấy rằng GDP phản ánh đồng thời 2 mặt là tổng thu nhập và tổng chi tiêu của nền kinh tế để mua hàng hóa và dịch vụ do nền kinh tế sản xuất ra. Tuy nhiên, không phải quy mô thu nhập và chi tiêu của cả nền kinh tế mà chính quy mô GDP bình quân đầu người mới là tiêu thức cho biết mức độ hưởng thụ phúc lợi kinh tê của một thành viên trong bình trong nền kinh tế. Rõ ràng là một người có mức thu nhập cao hơn được hưởng mức chi tiêu cao hơn cho các hàng hóa và dịch vụ phục vụ đời sống vật chất và tinh thần đa dạng của mình và do đó có cuộc sống sung túc và mãn nguyện hơn so với một người có thu nhập và chi tiêu thấp hơn. Nhìn chung các quốc gia có thu nhập bình quân theo đầu người cao hơn ngoài việc đảm bảo cho người dân có cuộc sống vật chất đầy đủ hơn còn có thể cung ứng cho dân cư của họ các dịch vụ y tế và giáo dục tốt hơn so với các quốc gia có thu nhập bình quân đầu người thấp hơn. O những quốc gia này, tỷ lệ số người trưởng thành biết chữ và có học vấn cao hơn, tỷ lệ trẻ sơ sinh nhẹ cân và suy dinh dưỡng thấp hơn và kết quả là có tuổi thọ cao hơn các quốc gia có thu nhập bình quân đầu người thấp hơn.
Phúc lợi kinh tế (Economic Welfare) là một tiêu thức toàn diện về trạng thái phúc lợi nói chung. Cải thiện phúc lợi kinh tế phụ thuộc vào sự tăng trưởng của GDP thực song điều này cũng còn phụ thuộc vào nhiều yếu tố khác không được tính hết vào GDP. Có thể kể tới một vài yếu tố sau:
- Sự cải thiện chất lượng hàng hóa và
- Kinh tế phụ gia đình
- Kinh tế ngầm
- Sức khỏe và tuổi thọ
- Thời gian nhàn rỗi
- Chất lượng môi trường
- Công bằng xã hội
Vì vậy, có thể nói rằng GDP là một tiêu thức tốt, song không hoàn hảo phản ánh phúc lợi kinh tế của một quốc gia. Chỉ tiêu hoàn hảo hơn phải kế đến là chỉ số phát triển con người (Human Development Index - HD1) đây là chi số so sánh, định lượng về mức thu nhập, tỷ lệ biết chữ, tuổi thọ và một số nhân tố khác của các quốc gia trên thế giới. HDI giúp tạo ra một cái nhìn tổng quát về sự phát triển của một quốc gia.
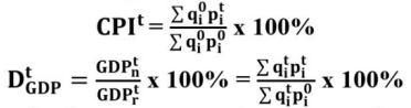
Chỉ số giá tiêu dùng đo lường mức giá trung bình của giỏ hàng hóa và dịch vụ mà hộ gia đình hay một người tiêu dùng điển hình mua.
![]()

CPI chưa phải là một thước đo hoàn hảo phản ánh lạm phát. Có ba nguồn chủ yếu tạo ra những sai lệch về chỉ số báo cáo lạm phát là:
- Lệch do hàng hóa mới.
Hàng hóa mới luôn xuất hiện để thay thế dần dần và sau đó là thay thế hoàn toàn cho hàng hóa cũ, hàng hóa mới được hiểu là những hàng hóa có cùng mục đích sử dụng như hàng hóa cũ thậm chí vượt trội hơn nhưng lại khác nhau rất lớn về cấu tạo, phần cứng và phần mềm. Hàng hóa mới xuất hiện tạo cho người tiêu dùng có sự lựa chọn đa dạng hơn, điều này cũng có nghĩa là mỗi một đồng trở nên có giá trị hơn. Tuy nhiện, vi CPI được tính dựa trên một gió hàng hóa và dịch vụ cố định, không tính đến hàng hóa mới được người tiêu dùng mua nên nó không phản ánh được sự thay đổi với sức mua của đồng tiền trong đó.
- Lệch do chất lượng hàng hóa thay đổi.
Hầu hết các hàng hóa và dịch vụ đều kinh qua sự cải thiện chất lượng không ngừng theo thời gian. Khi chất lượng hàng tiêu dùng tăng thì giá trị của đồng tiền cũng tăng theo. Đương nhiên nêu chất lượng hàng hóa nào đó thuộc giỏ hàng tiêu dùng giảm liên tục trong khi giá của hàng hóa ấy không thay đổi thì giá trị của đồng tiền cũng giảm đi.
- Lệch thay thế.
Thay đổi của CPI đo lường phần trăm thay đổi của giá cả của một giỏ hàng hóa và dịch vụ cố định. Mặc dù giá hàng hóa và dịch vụ thay đổi từ năm này qua năm khác song không phải giá của mọi hàng hóa thay đổi theo cùng một tỉ lệ như nhau. Một số hàng hóa có giá tăng nhanh hơn những hàng hóa khác. Chính những thay đổi về giá tương đối này khiến người tiêu dùng tìm đến những mặt hàng có giá tăng chậm hơn hay rẻ hơn tương đối thay vì tiêu dùng đúng như cơ cấu của giỏ hàng hóa và dịch vụ cố định trước đây.
Điểm giống nhau cơ bản của GDP và CPI là cả hai đêu đo lường mức giá chung của nền kinh tế và đều được các nhà kinh tế và hoạch định chính sách quan tâm, sử dụng vào việc hoạch định những chính sách kinh tế và xã hội.
- Điểm khác biệt thứ nhất là:
Chỉ số điều chỉnh GDP (DGDP) đo lường mức giá trung bình của tất cả các hàng hóa và dịch vụ cuối cùng được sản xuất ra ở trong nước.
Chỉ số giá tiêu dùng (CPI) đo lường mức giá trung bình của mọi hàng hóa và dịch vụ mà một hộ gia đình/một người điển hình tiêu dùng.
- Điểm khác biệt thứ 2 là từ công thức tính.

Công thức tính tiền lương của năm a tính bằng đồng của năm b

Là sự hiệu chỉnh tự động của một khoản tiền tính bằng đồng để loại trừ hiệu ứng của lạm phát trên cơ sở quy định của luật pháp hay hợp đồng.
Ví dụ: tiền lương và trợ cấp xã hội hay tiền thuê nhà ở được tính trượt giá theo lạm phát căn cứ vào tỷ lệ phần trăm thay đổi của CPI! Trượt giá giúp giữ cho chi phí giao hàng tiêu dùng và do đó mức sống của người tiêu dùng nói chung ổn định.
Giá thuê nhà năm 2020 là 2 triệu đông, hợp đồng có ghi là giá thuê nhà năm 2021 tăng/giảm theo giá thị trường.
Giả sử: Lạm phát năm 2021 là 10% => Giá thuê nhà năm 2021 theo hợp đồng là 2.2 triệu đồng
Lãi suất mà ngân hàng trả cho người gửi tiền gọi là lãi suất danh nghĩa và lãi suất đã trừ tỷ lệ lạm phát được gọi là lãi suất thực
![]()
Như vậy, lãi suất thực là khoản chênh lệch giữa lãi suất danh nghĩa và tỷ lệ lạm phát. Lãi suất danh nghĩa cho chúng ta biết số đồng tiền tăng lên như thế nào qua thời gian trong khi lãi suất thực cho chúng ta biết sức mua của tài khoản ngân hàng tăng lên như thế nào qua thời gian.
Trên thực tế lãi suất danh nghĩa và lãi suất thực không phải luôn biến đổi cùng chiều với nhau theo thời gian. Trong các năm 2004,2008 và 2010 mặc dù lãi suất danh nghĩa cao và luôn được điều chỉnh cao hơn nhưng lãi suất thực lại rất thấp và thập chí giảm xuống thành lãi suất thực âm. Đó là tình huống lạm phát cao và lạm phát gia tăng đã giảm giá trị của khoản tiền tiết kiệm nhanh hơn lãi suất danh nghĩa làm tăng giá trị của khoản tiết kiệm này
Đối lập với lạm phát chính là giảm phát, xảy ra khi sức mua của tiền tệ tăng lên và giá cả giảm xuống.
Tăng trưởng kinh tế là quá trình tăng tiến về khối lượng, quy mô sản phẩm của nền kinh tế. Thể hiện thông qua việc tăng lên của GDP, GNP,NNP, NI, PI, thu nhập bình quân đầu người, tốc độ tăng trưởng kinh tế..
Đất nước chỉ có thể hưởng thụ một cuộc sống tốt hơn khi nó sản xuất được lượng hàng hóa và dịch vụ nhiều hơn. Người Mỹ sống khá giả hơn người Nigeria là vì công nhân Mỹ có năng suất cao hơn công nhân Nigeria. Người Nhật được hưởng sự tăng trưởng về mức sống nhanh hơn người Argentina là vì năng suất của công nhân Nhật tăng nhanh hơn năng suất của công nhân Argentina. Nói cách khác, mức sống của một đất nước phụ thuộc vào khả năng sản xuất ra hàng hóa và dịch vụ của chính nó.
Do đó, để hiểu được sự khác biệt to lớn trong mức sống của người dân giữa các nước hay giữa những giai đoạn khác nhau, chúng ta buộc phải nhìn vào quá trình sản xuất ra hàng hóa và dịch vụ. Những xem xét mối liên hệ giữa mức sống và năng suất mới chỉ là bước khỏi đầu. Điều này tất yếu dẫn chúng ta đến câu hỏi: Vì sao một số nền kinh tế lại có khả năng sản xuất ra nhiều hàng hóa dịch vụ giỏi hơn rất nhiều so với các nền kinh tế khác.
a. Vốn vật chất (Physical capital - K):
Công nhân sẽ làm việc có năng suất hơn nếu họ có nhiều công cụ lao động. Lượng trang thiết bị và cơ sở vật chất được dùng để sản xuất ra hàng hóa và dịch vụ được gọi là vốn vật chất, hay còn gọi là tư bản.
b. Vốn nhân lực (Human Capital - H).
Nhân tố thứ hai quyết định năng suất là vốn nhân lực, đây là thuật ngữ các nhà kinh tế dùng để chi những kiến thức và kỹ năng mà người công nhân thu được thông qua giáo dục, đào tạo và kinh nghiệm. Vốn nhân lực bao gồm những kỹ năng tích lũy được từ thời kỳ đi học ở phổ thông cơ sở, phổ thông trung học, đại học và trong các chương trình đào tạo nghề nghiệp cho các đối tượng trong lực lượng lao động
c. Tài nguyên thiên nhiên (Natural Resources - N)
Nhân tố thứ ba quyết định năng suất là tài nguyên thiên nhiên, đây là yếu tố đầu vào của quá trình sản xuất do thiên nhiên mang lại. Ví dụ như đất đai, sông ngòi, và khoáng sản..v..v. Có hai loại tài nguyên thiên nhiên: có thể tái tạo và không thể tái tạo. Để hướng tới phát triển bền vững, ngày nay đã rất nhiều các quốc gia trên thế giới có xu hướng sử dụng các loại tài nguyên có thể tái tạo được và giảm phụ thuộc vào tài nguyên không thể tái tạo.
d. Tri thức công nghệ (Technological - T)
Nhân tố thứ tư quyết định năng suất là trí thức công nghệ - tức là những hiểu biết về cách thức tốt nhất để sản xuất ra hàng hóa và dịch vụ. Trí thức công nghệ có nhiều dạng.
- Một số công nghệ là tri thức chung hay tri thức phổ biến - nghĩa là một người sử dụng nó, những người khác cũng nhận ra cách làm. Ví dụ, 1 giáo sư toán học phát hiện ra cách chứng minh một phương trình toán học nào đó và công bô trên tạp chí khoa học.
Nhiều người nhận ra và nhanh chóng sử dụng công thức đó đề giải các bài toán tương tự.
Nhiều công nghệ mang tính độc quyền - chi có công ty phát minh ra nó biết mà thôi. Ví dụ: Chi có hãng bia heineken là biết được công thức bí mật tạo ra hương vị khác biệt gắn liền với các sản phẩm của hãng bán trên toàn thế giới mà không có hãng bia nào có được.
- Một số công nghệ khác mang tính độc quyền trong thời gian ngăn. Khi một công ty bào chế dược phẩm phát minh ra một loại thuốc mới, hệ thống bản quyền cho phép công ty đó có quyền duy nhất sản xuất loại thuốc đặc biệt đó trong một khoảng thời gian nhất định. Tuy nhiên khi bán quyền hết hạn, các công ty khác cũng được phép sản xuất loại thuốc đó.
a. Hàm sản xuất có lợi tức không đổi theo quy mô.
Các nhà kinh tế học thường dùng thuật ngữ hàm sản xuất để diễn tả mối liên hệ giữa lượng đầu vào và đầu ra trong sản xuất. Giả sử:
- Y biểu thị lượng đầu ra.
- L biểu thị lượng lao động (Labor).
- K là lượng vốn vật chất.
- H là lượng vốn nhân lực.
- Nia lượng tài nguyên thiên nhiên
- A là biến số phản ánh trình độ công nghệ sản xuất sắn có, hay năng suất nhân tố tổng hợp (Total Factor Productivity - TFP)
- F là hàm số
Chúng ta có thể viết
Y = A.F(L; K; H; N)
b. Đặc điểm của hàm sản xuất có lợi tức không đổi theo quy mô.
Nhiều hàm sản xuất có một đặc tính gọi là lợi tức không đổi theo quy mô. Nếu một hàm sản xuất có lợi tức không đổi theo quy mô thì sự tăng lên gấp đôi của tất cả các đầu vào sẽ dẫn đến lượng đầu ra cũng tăng gấp đối.
Về mặt toán học, chúng ta nói một hàm sắn xuất có lợi tức không đối theo quy mô nếu với bất kỳ số dương x, ta có
Y = A.F(x.L; x.K; x.H; x.N)
c. Biến đổi hàm sản xuất theo hàm năng suất lao động.
Hàm sản xuất có lợi tức không đổi theo quy mô mang một ý nghĩa thú vị. Để thấy được điều này, hãy đặt x - 1/L. Khi đó, phương trình (*) trở thành:
Y/L = A.F(1; K/L; H/L; N/L)
Có Y/L. là lượng đầu ra trên một công nhân hay chính là năng suất lao động, Phương trình này chỉ ra rằng năng suất sẽ phụ thuộc vào:
- K/L : Lượng vốn vật chất trên một công nhân
- H/L: Lượng vốn nhân lực trên một công nhân
- N/L: Lượng tài nguyên thiên nhiên trên một công nhân
- A: Trình độ khoa học công nghệ .
Như vậy phương trình nảy chứng minh được các nhân tố ảnh hưởng đến năng suất
Vì vốn vật chất hay tư bản là nhân tố được tạo ra trong quá trình sản xuất nên xã hội có thể làm thay nó. Nếu ngày hôm nay đất nước sản xuất ra nhiều hàng hóa tư bản thi ngày mai nó sẽ có nguồn từ bản nhiều hơn và có thể sản xuất ra nhiều hơn hàng hóa và dịch vụ dưới mọi hình thức. Do đó, một cách đê nâng cao năng suất trong tương lai là đầu tư các nguồn lực hiện tại nhiều hơn và quá trình sản xuất tư bản.
Ví dụ: Bạn mới ra trường và đi làm lương 10 triệu/tháng, từ chỗ không có gì sau nhiều tháng nỗ lực và tích lũy bạn mua được 1 chiếc xe máy và 1 chiếc máy tính. Từ chiếc xe máy bạn sử dụng để di chuyển và chiếc máy tính bạn sử dụng để kết hợp làm việc sẽ giúp bạn nâng cao được năng suất lao động và giảm thời gian hao phí. Công việc thuận lợi giúp mức lương của bạn tăng lên 15tr/tháng, bên cạnh đó bạn có thể làm thêm các công việc online ngoài giờ hoặc nhận thêm việc mới sẽ tạo thêm thu nhập lớn hơn.
Mở rộng ra trong nền kinh tế cũng như vậy, tiết kiệm hôm nay chính là động lực để tạo ra được mức tăng trưởng cao hơn trong tương lai.
Sự tăng trưởng có được từ tích lũy tư bản không phải là một bữa ăn trưa miễn phí.
Hàm ý rằng khi xã hội đầu tư nhiều và tư bản hơn, nó buộc phải tiêu dùng ít đi và phải tiết kiệm từ thu nhập nhiều hơn, xã hội phải hy sinh tiêu dùng hàng hóa và dịch vụ hiện thời để thụ hưởng mức tiêu dùng lớn hơn trong tương lai.
Charge your account to get a detailed instruction for the assignment